ARTÍCULOS DE REVISIÓN
Tendencias en la producción del conocimiento científico de enfermería sobre VIH/SIDA: estudio bibliométrico
Eliane Rolim de Holanda1, Maria da Conceição Cavalcanti Lira1, Marli Teresinha Gimeniz Galvão2, Marta Maria Coelho Damasceno2, Thelma Leite de Araujo2
1Universidad Federal de Pernambuco
2Universidad Federal do Ceará
RESUMEN
Objetivo: Analizar la producción científica de enfermería sobre VIH/SIDA publicada en periódicos editados en Brasil y disponibles electrónicamente desde 2000 a 2011.
Método: Estudio bibliométrico realizado con 194 artículos los cuales fueron analizados descriptivamente cuanto a la categoría, año, Qualis, formación, titulación, actividad ejercida e institución de los autores, método, sujetos, escenarios y subtemas.
Resultados: Los datos apuntaron aumento significativo en la cuantidad de publicaciones sobre la temática, expresiva participación de doctores, docentes y discentes de universidades públicas en las autorias e incipiente participación de enfermeros asistenciales. Predominaron artículos del Surdeste y Nordeste, en escenarios hospitalarios. Se percibió escasez de trabajos con niños, adolescentes, ancianos, profesionales del sexo, usuarios de drogas y homosexuales. Hubo una tendencia por métodos calitativos de investigación.
Conclusion: Se concluye que los hallazgos de esta investigación apuntan para lagunas del conocimiento que pueden ser exploradas por futuras investigaciones en el ámbito de la enfermería.
Descriptores: Investigación en Enfermería; VIH; SIDA; Conocimiento.
INTRODUCCIÓN
Identificada en el inicio de la década de 1980, la infección por el virus de la inmunodeficiencia humana (VIH) y la síndrome de inmunodeficiencia adquirida (SIDA) representan un grave problema de la salud pública internacional por causa del creciente aumento de personas infectadas, alto costo de la terapéutica, secuelas físicas y emocionales y elevados índices de mortalidad(1).
De acuerdo con las estimativas, en el ámbito mundial existen cerca de 42 millones de personas infectadas y conviviendo con el VIH(2). Los datos recientes mostraron que la epidemia de la SIDA en Brasil continúa en niveles elevados. Son 608.230 casos registrados de 1980 a 2011 y la tasa de incidencia oscila alrededor de 17,9 casos por 100 mil habitantes(3).
Con el advenimiento de la terapia antirretroviral y el acceso al tratamiento, estudios han apuntado un cambio del perfil epidemiológico y la mejoría de la calidad de vida de las personas seropositivas. A pesar de eso, el problema está lejos de ser resuelto y muchos desafíos continúan instigando científicos de todas las disciplinas en relación a este tema.
En ese contexto, la enfermería tiene importantes contribuciones a ofrecer, sobre todo en lo que concierne a las acciones de prevención de los comportamientos de riesgo, adhesión à terapia farmacológica, asistencia de los pacientes enfermos, entre otros. Al actuar directamente con esas cuestiones, es preciso estructurarse, juntamente con el equipo de salud, en la búsqueda por soluciones para las diversas transformaciones advenidas de la epidemia.
El entendimiento del camino recorrido en la construcción del conocimiento acerca de la infección por el VIH/SIDA es un paso fundamental. De esta forma, el estudio de la producción científica de enfermería en relación al paciente seropositivo es esencial para auxiliar en la identificación de las necesidades para el perfeccionamiento de las acciones. Este tipo de investigación permite analizar cuáles aspectos han sido poco explorados para estimular la realización de nuevos estudios(4).
Para la obtención de indicadores de la evaluación y mensuración de la producción científica, la bibliometría está siendo utilizada como metodología en las diversas áreas del conocimiento. Tiene como principio analizar la actividad científica o técnica por el estudio cuantitativo de las publicaciones(5).
La relevancia de este estudio es la de posibilitar el resumen y la cuantificación, por medio de la bibliometría, de las publicaciones divulgadas en la literatura científica en el ámbito de la temática VIH/SIDA. Al mismo tiempo, estudios de esta naturaleza pueden subsidiar la reflexión sobre la producción académica y modelos de investigación por ellas adoptados, así como evidenciar las lagunas científicas existentes que apuntan para futuras prioridades de investigación.
Delante del expuesto, se tuvo por objetivo analizar la producción científica brasileña de enfermería sobre VIH/SIDA publicada en periódicos en el período de 2000 a 2011.
MÉTODO
Se realizó el estudio bibliométrico, con la propuesta de evaluar la producción científica contenida en todos los periódicos de enfermería disponibles electrónicamente, producidos en Brasil y publicados entre 2000 y 2011 sobre el VIH/SIDA, posibilitando, así, identificar el perfil de estas publicaciones.
La búsqueda por los artículos fue efectuada directamente en los sitios web de destacados periódicos de enfermería, a saber: Acta Paulista de Enfermería, Revista de la Escuela de Enfermería de la USP, Revista Latino Americana de Enfermería, Revista Texto y Contexto Enfermería, Revista Brasileña de Enfermería, Revista Gaúcha de Enfermería, Revista de la Escuela Ana Nery, Revista Baiana de Enfermería, Online Brazilian Journal of Nursing (OBJN), Revista de Enfermería de la UERJ, Revista Mineira de Enfermería (REME), Revista Electrónica de Enfermería, Nursing (São Paulo), Cogitare Enfermería, Revista de Enfermería UFPE Online (REUOL) y Revista de Investigación en Enfermería.
Con la finalidad de abarcar el mayor número posible de artículos, se procedió, aún, a la búsqueda en las bases de datos electrónica BDENF, la cual está contenida en la Biblioteca Virtual de Salud (BVS), y en la Scientific Eletronic Library Online (SciELO).
La recolección de los artículos ocurrió en el mes de octubre de 2011. Para tanto, se utilizaron los descriptores controlados advenidos de los Descriptores en la Ciencia de la Salud (DeCS) bajo consulta “VIH” o “SIDA”.
En la selección de los artículos fueron adoptados los siguientes criterios de inclusión: a) artículos publicados en periódicos de enfermería editados en Brasil, en los idiomas portugués, inglés y español; b) publicaciones con textos en el formato electrónico disponibles en la íntegra y gratuitamente; c) artículos que poseen al menos un autor enfermero; d) publicaciones relativas a la temática enfermería y VIH/SIDA contenidas en el recorte temporal de enero de 2000 a septiembre de 2011. Se excluyó todos los demás tipos de publicación (editoriales, comentarios, reflexión, ensayo, relato de experiencia, estudio de caso clínico, tesis y disertaciones) y artículos que, aunque poseyesen algún de los términos delimitados en la búsqueda, no trataban del asunto de interés del estudio. Artículos que estaban repetidos en las bases de datos fueron contabilizados solamente una vez, para de evitar duplicidad de informaciones.
Para la recolección de los datos se elaboró un instrumento en formato de cuadro, en el intuito de extraer de los artículos de los siguientes aspectos: categoría del artículo, año de publicación, Qualis del periódico, según la clasificación de la Coordinación de Perfeccionamiento de Personal de Nivel Superior (CAPES), en 2009, formación de los autores, titulación académica, actividad ejercida (asistencial, docente, estudiante), institución de los autores, el enfoque metodológica de la investigación, sujetos del estudio, local de realización (referente al local de recolección de datos) y subtemas enfocados.
Cumple decir que el Qualis es el sistema de clasificación de los periódicos, anales y revistas de la CAPES para estratificación de la calidad de la producción intelectual de los programas de post-graduación.
Para lo tanto, los vehículos de divulgación son encuadrados en categorías indicativas de la calidad, siendo atribuidos conceptos como A1, clasificados como lo más elevado, seguido de A2, B1, B2, B3, B4, B5 e C, con peso cero.
Para la identificación de los subtemas, después de la lectura criteriosa de los artículos, se consideraron los principales asuntos explorados en el manuscrito.
Para la organización de los datos, se utilizó el software Microsoft Excel 2007®. Los resultados fueron analizados por medio de la estadística descriptiva y la discusión se pautó en la literatura científica pertinente a la comprensión de los hallados.
Por tratarse de la investigación con los datos de documentos publicados y de dominio público, no hubo necesidad de apreciación por un comité de ética en investigación con seres humanos. Se resalta que fueron respetados los principios éticos en investigación a lo largo del análisis de los contenidos textuales.
RESULTADOS
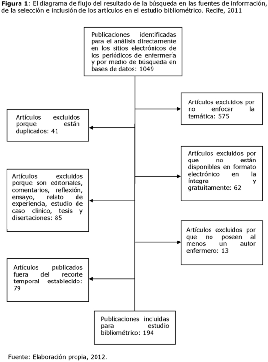
La búsqueda bibliográfica resultó en 1049 artículos. Sin embargo, en consonancia con los criterios de inclusión y exclusión elegidos, se obtuve una amuestra de 194 publicaciones, las cuales compusieron el objetivo del análisis (Figura 1).

En lo tocante a la categoría del artículo publicado, 22 de los 194 (11,34%) eran de revisión bibliográfica y los demás 172 (88,66%) eran artículos originales, desarrollados en hospitales, universidades, escuelas, entre otros campos. Así, el número de investigaciones de campo fue superior al de revisiones.
La distribución anual de los artículos publicados se mostró creciente, evidenciándose un predominio de las producciones científicas en 2009 y 2010, en el total de 30 (15,46%) trabajos (Tabla 1).

Al analizar la clasificación de los periódicos segundo el Qualis, se observó que 92 artículos (47,42%) fueron publicados en revistas calificadas como Qualis A2, 61 (31,44%) como B1, 24 (12,37%) como B2, 10 (5,15%) como B3 y sólo siete (3,61%) estaban incluidas en el estrato B4. No se tuvo acceso a los artículos referentes a la temática en periódicos clasificados como B5 e C.
Se obtuvo un total de 640 autorías en los artículos investigados, contabilizando el mínimo de una y el máximo de ocho autorías por estudio. Fue frecuente el doble contaje de algunos autores que publicaron en coparticipación.
Con base en ese cuantitativo, en lo que refiere a la formación profesional de los autores, se verificó que los artículos fueron desarrolladas por 461 (72,03%) enfermeros, seguidos por 20 (3,13%) profesionales con otra formación en salud, a saber: médico, odontólogo, nutricionista, fisioterapeuta, biólogo, farmacéutico y fonoaudiólogo. También publicaron en periódicos de enfermería ocho (1,25%) profesionales de otras áreas de conocimiento, distribuidos entre pedagogos, terapeutas ocupacionales, físicos, estadísticos y psicólogos. Una proporción significativa de artículos, expresada por 151 (23,59%) autorías, no mencionaron la formación profesional de los autores.
En lo relacionado a la titulación de autores de los artículos, se identificó que 284 (44,38%) poseían doctorado y/o PhD, 87 (13,59%) máster, 48 (7,50%) sólo graduación o especialización, 109 (17,03%) eran estudiantes y 112 (17,03%) no informaron ese dato. Cuanto a la caracterización de los estudiantes, 43 (6,72%) eran doctorandos, 45 (7,03%) maestría y 21 (3,28%) alumnos de graduación. Se registra que no fueron encontrados artículos cuyos autores eran estudiantes de post-graduación Lato Sensu.
Sobre las actividades ejercidas por los autores, de total de 640 autorías, la mayor parte (n=340), equivalente a 53,13% eran docentes, 103 (16,06) eran exclusivamente discentes de cursos de graduación o de post-graduación y 69 (10,78%) eran profesionales que practicaban funciones asistenciales. No se obtuvo información sobre las actividades ejercidas de 128 (20%) autorías analizadas.
Cuanto a la categorización de las instituciones de los autores, de las 640 autorías, 528 (82,5%) pertenecían a 25 universidades públicas brasileñas, 67 (10,47%) las instituciones privadas de enseñanza superior y 45 (7,03%) a diversas instituciones de la salud distribuidas entre hospitales, unidades básicas de salud y órganos ligados a la gestión de servicios. Entre las instituciones asistenciales, los hospitales universitarios, públicos y privados, sobresalieron en la participación de la producción científica.
En la tangente de la ubicación geográfica, se verifico un predominio de 287 (44,84%) autorías de investigaciones realizadas en la región Sudeste, seguida por la región Nordeste con 190 (29,68%). Se observó que 68 (10,63%) autorías no informaron la institución a que estaban vinculados (Figura 2).

La Universidad de São Paulo se destacó con 20,47% (n=131) entre las autorías de Sudeste, seguida por la Universidad Federal do Ceará, que obtuvo la expresiva participación de 119 autorías, equivalente a 18,59% de la región Nordeste. En tercera posición, constó la Universidad do Estado do Rio de Janeiro con 73 (11,71%) autorías publicadas.
El enfoque metodológico predominante fue el cualitativo, adoptada en 114 (58,76%) artículos. En los demás trabajos, se observó que 48 (24,74%) utilizaron la investigación del tipo cuantitativo, 26 (13,4%) eran artículos de revisión o documental y sólo seis (3,1%) optaron por el método cuantitativo y cualitativo.
Cuanto a los sujetos o población investigados en los estudios, la mayoría (n=40), equivalente a 20,62%, se concentró en adultos seropositivos al VIH, asintomáticos o con SIDA, sin, aunque, hacer la distinción del género. Hubo 26 (13,40%) artículos de revisión bibliográfica o documental, cuyo material empírico fue recoletado en bases de datos o ambientes informatizados. Por no especificar ninguna población, fueron clasificados en la categoría “no se aplica”. Sólo tres estudios (1,55%) enfocaban los profesionales del sexo, hecho a ser mencionado, haya visto las normalizaciones sociales relacionadas a estos trabajadores (Tabla 2).

Al investigarse la variable “escenario de estudio”, o sea, los locales de desarrollo de las investigaciones, se verificó predominancia de 61 (31,44%) estudios realizados en hospitales, seguido de 46 (23,71%) en ambulatorios especializados. Los demás campos fueron: centros especializados, unidades básicas de salud, instituciones de enseñanza, ambiente domiciliar.
En lo tocante a las principales categorías y subtemas abordados en los artículos, se observaron inúmeras temáticas, destacándose la categoría relacionada a los enfrentamientos y significados frente al SIDA (n=69), la promoción de la salud (n=53), al desarrollo de los procesos de salud en VIH/SIDA (n=43) y la prevención de enfermedades o de la reinfección (n=29). Se explicita que el subtema comorbilidades, identificado en cinco artículos, abordaban enfermedades directamente correlacionadas al VIH, tales como tuberculosis, hepatitis C, insuficiencia renal crónica y síndrome da lipodistrofia (Tabla 3).

Se observa aún, en la Tabla 3, que hubo expresiva divulgación sobre el empleo de teorías de enfermería y procesos de sistematización de la asistencia de enfermería, demostrando la aplicación del conocimiento de la profesión para la consolidación de la enfermería como ciencia.
DISCUSIÓN
Al investigarse la producción del conocimiento sobre VIH y SIDA, se percibió que los artículos clasificados como originales o de investigación representaron la mayor parte de los trabajos divulgados. Este hallazgo evidencia el esfuerzo de la profesión de enfermería para consolidar su cuerpo de conocimiento, así como para conocer las dimensiones de las inserciones concretas de la epidemia de VIH/SIDA en la sociedad(6).
Además de esto, los editores intentan cumplir los criterios de selección para la indexación de los periódicos en bases de datos a partir del carácter científico de los trabajos. Así, hay una puntuación mayor cuando la mayoría de artículos es original(7).
En ese sentido, el desarrollo del conocimiento generado en estudios científicos es esencial para la mejoría constante de la asistencia de enfermería. Conforme se defiende, los enfermeros deben adoptar la práctica basada en evidencias, utilizando los resultados de investigaciones para fundamentar sus decisiones, acciones e interacciones con los pacientes bajo su responsabilidad, fortaleciendo la identidad de la enfermería como profesión(8).
Se percibió un aumento expresivo del número de trabajos a lo largo del recorte temporal delimitado. Tal hecho muestra el interés por la investigación en esta temática y parece reflejar las nuevas demandas suscitadas por el agravio en discusión ser crónico.
Cuanto a la caída en la producción verificada entre 2000 y 2004, puede reflejar la falta de la actualización de las bases de datos y periódicos investigados. Con todo, es necesario considerar la posibilidad de que los enfermeros estuvieron publicando en otros periódicos que no sean de la área específica de la enfermería(9).
Mediante la estratificación del Qualis 2009, se obtuvo la mayor parte de los artículos publicados en niveles satisfactorios de estratificación. Esto demuestra el interés creciente en la búsqueda por la excelencia de la profesión. Considerando esta clasificación, tal vez la inexistencia, entre los textos que formaron el corpus del análisis, de artículos publicados en periódicos A1 se debe a la inexistencia de periódicos de enfermería, editados en el Brasil y clasificados efectivamente con este estrato en el período de la recolección de los datos.
Las directrices de la CAPES para evaluación de programas de postgraduación stricto sensu tiene direccionado los programas a mantuvieren periódicos con perfil internacional, lo que parece justificar la mayor demanda de artículos en periódicos con buena Qualis. Esa constatación tiene expresivo significado para la enfermería que presta cuidados a la persona seropositiva, ya que las revistas en las cuales los artículos fueron publicados tienen excelente calidad y ejercen gran impacto sobre la comunidad científica(4).
Hubo predominancia de enfermeros en las autorías. Este dato puede ser explicado por tratarse de investigaciones publicadas exclusivamente en periódicos de enfermería. Sin embargo, fue mucho tímido el número de autorías de otras categorías profesionales. En ese sentido, el trabajo multiprofesional necesita ser más estimulado, pues contribuye para ampliar el entendimiento sobre el VIH, tema que necesita de un enfoque interdisciplinar(10).
Como identificado, gran parte de artículos, fue elaborada por docentes de universidades. Mencionada constatación encuentra apoyo en estudios que apuntaron la supremacía de la docencia en lo inherente a las autorías(9,11). La mayor producción en la área académica puede ser atribuida a aspectos de las funciones ejercidas por los docentes, en especial de instituciones públicas, en las cuales la ascensión de la carrera universitaria está relacionada a factores como titulación, orientaciones y publicaciones. También para la manutención de los conceptos en los programas de post-graduación se requiere publicaciones de trabajos de investigación envolviendo el cuerpo docente y discente(12).
Se observó expresiva participación de estudiantes de nivel de graduación y de post-graduación entre las autorías, evidenciándose la inserción precoz de alumnos de graduación en el ámbito científico y de enfermeros en los cursos de post-graduación stricto sensu. Tales hallazgos vienen al encuentro de las recomendaciones de los órganos brasileños de fomento para investigación, que abogan a favor de las iniciativas de inserción de los estudiantes de graduación en el aprendizaje en investigación. El apoyo a la iniciación científica impulsa mayor participación en las cuestiones que se relacionan con el crecimiento de la ciencia en el país y contribuí para formación de recursos humanos mejor cualificados.
Evidentemente, la investigación no es una actividad restricta a la academia. Con todo fue incipiente a la participación de enfermeros asistenciales de personas seropositivas en las autorías de los estudios. De ese modo, se verifica distintiva desidia en la producción de conocimiento de la enfermería brasileña, una vez que estos pueden traer importantes contribuciones a las cuestiones emergentes advenidas de su objeto de cuidado.
En este sentido, es necesario haber incentivo de las instituciones de salud en lo que se refiere al envolvimiento de profesionales de la asistencia en proyectos de investigación para estimularlos cuanto al desarrollo de una práctica reflexiva y científicamente basado(8).
Conforme ya mencionado, no fueron obtenidas informaciones sobre la área de actuación de un número representativo de las autorías analizadas. Esa ausencia de datos constituyó una laguna para la investigación bibliométrica. Además, fue evidenciada la necesidad de la inclusión de datos completos y patronizados en los periódicos nacionales disponibles electrónicamente.
La predominancia de investigaciones oriundas del Sudeste fue semejante a la encontrada en otros estudios(4,5,9,12-14). Tales investigaciones indican el pionerismo de esta región en la implantación y en la concentración de cursos de graduación y de post-graduación en enfermería, además de la mayor concentración de hospitales. Sumado a esto, se resalta también que São Paulo fue el primero estado a crear oficialmente un programa contra el SIDA, en 1983, con la publicación de un informe técnico sobre la enfermedad, habiendo iniciado las investigaciones sobre esta infección casi concomitantemente a su surgimiento en el mundo(11).
La expresiva producción de enfermería oriunda del Nordeste viene caracterizándolo como un importante polo de generación de conocimiento científico. Esto puede ser justificado por la consolidación de los cursos de post-graduación locales, ampliación de hospitales especializados, así como por el aumento de la epidemia en esa región, proporcionando el interés de sus investigadores por investigaciones.
Por los hallazgos, se evidenció mayor tendencia de los estudios en utilizar el enfoque cualitativo, no excluyendo, sin embargo, las demás posibilidades metodológicas. En el Brasil, la investigación cualitativa surgió en la década de 1970, como un nuevo enfoque metodológico, cuyas características se diferenciaban de los estudios hasta entonces realizados. En su naturaleza holística, descriptiva y basada en significaciones, enfatiza la importancia de conocerse, entender e interpretar los significados de eventos, creencias y valores de los individuos. Con base en el presupuesto, según el cual la realidad social no se agota en las informaciones cuantitativas, la investigación cualitativa se impone como estrategia imprescindible en la realización de las investigaciones en la enfermería(15).
La predominancia del enfoque de los fenómenos y objetos de investigación a partir de una perspectiva cualitativa puede tener origen en factores diversos. Entre estos, la necesidad de los investigadores de adquirir conocimiento sobre cuestiones subjetivas, capaces de reflejar en su cotidiano de trabajo, y la búsqueda de la enfermería por lo alejamiento del modelo biomédico(13).
Conforme apuntó el análisis de la producción levantada, la categoría de sujetos más frecuente en los estudios fueron los adultos seropositivos para el VIH o con SIDA. Posiblemente, este dato se relaciona al cambio del curso de la infección por el VIH, de la enfermedad fatal para condición crónica, reducción de la morbimortalidad y mejoría de la calidad de vida, principalmente después de la Ley Nº 9.313, de 13 de noviembre de 1996, a la cual dispone sobre la garantía de la distribución gratuita de medicamentos antirretrovirales.
Las mujeres representadas por madres, embarazadas o puérperas seropositivas correspondieron a los sujetos con la segunda mayor participación en las investigaciones, lo que se puede explicar por la feminización de la epidemia observada en Brasil a partir de la década de 1990. Se cita que en 1985, para cada 26 casos entre hombres había un caso entre mujeres. En 2010, esa relación fue de 1,7 hombres para cada caso en mujeres(3).
Aunque la razón de sexos aún sea mayor en el sexo masculino, las mujeres representan la población en la cual se observa la expansión más rápida de la infección(16). El mencionado proceso de feminización posee dos aspectos decisivos a ser resaltados: el aumento sistemático del SIDA entre mujeres jóvenes y el problema adicional de la transmisión vertical que representa la principal forma de diseminación del virus en la población infantil incluyendo, así, un nuevo grupo poblacional en la epidemia, los niños. Sin embargo, fue inexpresivo el número de artículos que trataron sobre niños, hecho que corrobora la asertiva destacada en otros estudios(17,18) de que a pesar de la grande población pediátrica con VIH, la investigación en cuidados y tratamiento en este escenario aún es limitada.
La reducida cantidad de estudios con niños, adolescentes y ancianos, seropositivos o no, representa una laguna del conocimiento a ser rellenada por futuras publicaciones. Cabe resaltar también, la escasez de investigaciones con profesionales del sexo, usuarios de drogas y homosexuales en el recorte temporal estudiado. Esta escasez puede reflejar dificultad metodológica de inserción en los campos donde eses sujetos se encuentran o de anuencia en participar de investigaciones que puedan cuestionarlos sobre rasgos de su intimidad. Por otro lado, también es posible que los investigadores tengan poco interés en explorar el fenómeno de la SIDA en tales grupos poblacionales por recelo de enfrentar situaciones de marginalización social de cierta forma amenazadora(19). Por lo tanto, los estigmas y prejuicios pueden manifestarse no solamente en la sociedad en general, sino también en la comunidad científica(13).
Como demuestra el bajo porcentual de estudios abarcando estos tres grupos, esa población aún no está recibiendo la debida atención de los investigadores. Ya que son las vías sexual y sanguínea las principales formas de contagio entre la población brasileña, y como actualmente no existe más el concepto del grupo de riesgo, luego, todos los diversos extractos poblacionales necesitan ser igualmente objetivos de estudios(20).
Investigaciones envolviendo profesionales de enfermería obtuvieron visibles representación, ocupando el tercer lugar en el estudio. Este dato corrobora los apuntamientos de autores(6,13,20) que discutieron las implicaciones traídas por la epidemia para la práctica profesional, en sus múltiples aspectos, desde las relaciones con los pacientes, acceso a los conocimientos producidos acerca de la enfermedad, compartiendo de decisiones con el binomio paciente cuidador hasta los posibles riesgos ocupacionales.
De modo general, las publicaciones sobre VIH/SIDA parecen mantener el paradigma hospitalocéntrico como orientador de los escenarios de las investigaciones en enfermería. En este ámbito, la presencia distintivo del sitio hospitalario indica la necesidad de invertimento en otros escenarios de investigación, tales como escuelas, universidades y locales públicos, privilegiando el enfoque preventivo.
Aún como evidenciado, la delimitación prioritaria del subtema “vivencias y significados de estar con VIH” en las investigaciones caracterizó la búsqueda por la comprensión de los cambios ocurridos en la vida de personas seropositivas, a nivel biológico, social o psicológico, así como de las necesidades de allí resultantes.
A partir del año 2000, se pasó a observar los impactos del uso de los antirretrovirales en la sobrevida de los portadores y de los enfermos, colocando como problema de investigación las cuestiones inherentes a la supervivencia de eses sujetos, hecho este que probablemente justifica la segunda mayor frecuencia de estudios relativos al subtema “adhesión a la terapia antirretroviral” entre los artículos investigados.
La fuerte presencia de la temática “prevención del VIH/SIDA” va al encuentro de las cuestiones referentes a las prácticas que objetivan la prevención del contacto con el virus. Su ocurrencia se debe, probablemente, a la inexistencia y a las dificultades vislumbradas para el alcance de la cura de la enfermedad, además de su lealtad, tornando la prevención relevante estrategia para el enfrentamiento de la epidemia.
Los demás resultados de los principales subtemas aquí encontrados apuntan tendencias y dan subsidios para el reconocimiento de la urgencia de realización de nuevas investigaciones volcadas a las lagunas existentes en la literatura que necesitan ser más investigadas para encontrar estrategias de prevención, enfrentamiento, asistencia y formación de recursos humanos en el área de enfermería más eficaces contra el VIH.
CONCLUSIÓN
Implicaciones para la práctica y para la investigación en enfermería
Este estudio demostró tendencias, avances y lagunas en la investigación de enfermería relacionada al VIH. Se constató el creciente desarrollo de estudios sobre la temática provenientes del Nordeste brasileño, la poca participación de enfermeros asistenciales en investigaciones y de otros profesionales de la salud en los artículos de enfermería.
Se resalta la escasez de trabajos direccionados para niños, adolescentes, ancianos, profesionales del sexo, usuarios de drogas y homosexuales, con o sin el virus, aspecto que merece atención debido a sus importantes representatividades en la actual situación epidemiológica de la enfermedad en el Brasil.
Las temáticas abordadas también fueron caracterizadas y proporcionan subsidios para una comprensión más amplia de los intereses de la comunidad académica en lo tocante a las acciones de enfermería y la epidemia. Los subtemas se centraron en los significados de vivir con VIH/SIDA y en las cuestiones relativas a la adhesión medicamentos y en la prevención de la enfermedad.
Con todo, algunos artículos analizados no presentaron datos relevantes para su identificación, tales como formación, titulación académica, actividad ejercida e institución de los autores. Esto indica la necesidad de más cuidado al publicarlos, pues, estas variables constituyen informaciones significativas para fines de caracterización de las producciones científicas.
Se puede afirmar que la investigación en enfermería es importante por su potencialidad de legitimar el hacer, buscar nuevas maneras de cuidado por acercar las dimensiones teóricas y prácticas de la profesión, contribuir para la mejoría de calidad de vida de la población, y, al mismo tiempo, dar sustentación a la práctica profesional.
Ante al expuesto, se recomienda el desarrollo de nuevas investigaciones con el intuito de rellenar las lagunas ahora apuntadas. Este estudio propició reflexiones para el entendimiento de la trayectoria de la producción de conocimiento por la enfermería brasileña acerca de la epidemia por VIH/SIDA, a lo largo de la última década e inicio de la vigente, trayendo considerables hallazgos para el direccionamiento de futuras investigaciones sobre el tema.
REFERÊNCIAS
1. Acioli S, Heringer A, Oliveira DC, Gomes AMT, Formozo GA, Costa TL, et al. HIV/AIDS and nursing in thesis and dissertations - 1980 to 2005: a bibliographic study. Online braz j nurs [ Internet ]. 2006 [ cited 2011 Nov 02 ] 5(3): [about 5 p.]. Available from:http://www.objnursing.uff.br/index.php/nursing/article/view/577/135
2. UNAIDS. Programa Conjunto das Nações Unidas sobre HIV/AIDS [ Homepage in the internet ]. Relatório sobre a epidemia mundial da AIDS, 2010 [ cited 2011 Oct 05 ]. Available from: http://www.unodc.org/documents/lpo-brazil//noticias/2010/11/Resumo_Dados_Globais_UNAIDS_2010.pdf
3. Ministério da Saúde (Brasil). Boletim epidemiológico AIDS/DST. Brasília: Ministério da Saúde; 2011.
4. Cicolo EA, Roza BA, Schirmer J. Doação e transplante de órgãos: produção científica da enfermagem brasileira. Rev bras enferm. 2010 Mar; 63(2):274-8.
5. Ravelli APX, Fernandes GCMI, Barbosa SFF, Simão E, Santos SMA, Meirelles BHS. A produção do conhecimento em enfermagem e envelhecimento: estudo bibliométrico. Texto & contexto enferm. 2009 Sept; 18(3):506-12.
6. Gir E, Silva AM, Costa FPP, Hayashida M. Alterações na prática profissional de enfermeiros de um hospital de ensino do interior paulista, em conseqüência ao surgimento do HIV/AIDS. Rev gauch enferm. 2000 July; 21(2):37-54.
7. Carvalho LF. Bibliometria e saúde coletiva: análise dos periódicos Cadernos de Saúde Pública e Revista de Saúde Pública. Rio de Janeiro. Dissertação [ Mestrado em Saúde Pública ] - Escola Nacional de Saúde Pública Sérgio Arouca; 2005.
8. Polit DF, Beck CT. Fundamentos de pesquisa em enfermagem: avaliação de evidências para a prática da enfermagem. 7. ed. Porto Alegre: Artmed; 2011.
9. Araújo MAL, Araujo TL, Damasceno MMC. Conhecimento em HIV/AIDS de 1998 a 2005: estudos publicados em periódicos de Enfermagem. Esc Anna Nery Rev Enferm. 2006 Apr; 10(1):126-31.
10. Reis RK, Gir E. Caracterização da produção científica sobre doenças sexualmente transmissíveis e HIV/AIDS publicados em periódicos de enfermagem no Brasil. Rev Esc Enferm USP. 2002 Dec; 36(4): 376-85.
11. Santos CG. AIDS em revista(s): produção científica no Brasil, 1982-2002. São Paulo. Dissertação [ Mestrado em Saúde Coletiva ] – Coordenação dos Institutos de pesquisa da secretaria de estado da saúde de São Paulo; 2004.
12. Araújo KM, Brandão MAG, Leta J. Um perfil da produção científica de enfermagem em Hematologia, Hemoterapia e Transplante de medula óssea. Acta Paul Enferm. 2007 Mar; 20(1):82-6.
13. Oliveira DC, Formozo GA, Gomes AMT, Acioli S, Marques SC, Costa TL, et al. A produção de conhecimento sobre HIV/AIDS no campo da teoria de representações sociais em 25 anos da epidemia. Rev Eletr Enf [ Internet ]. 2007 [ cited 2011 Nov 02 ] 9(3):821-34. Available from: http://www.revistas.ufg.br/index.php/fen/article/view/7508
14. Reveles AG, Takahashi RT. Educação em saúde ao ostomizado: um estudo bibliométrico. Rev Esc Enferm USP. 2007 June; 41(2):245-50.
15. Merighi MA, Barbosa GR, Ferreira FC. Estudo bibliométrico sobre dissertações e teses em enfermagem com abordagem fenomenológica: tendência e perspectivas. Rev latinoam enferm. 2007 Aug; 15(4):645-50.
16. Pinto VM, Tancredi MV, Golub JE, Coelho AC, Tancredi Neto A, Miranda AE. Prior history of sexually transmitted diseases in women living with AIDS in São Paulo, Brazil. Braz j infect dis [ Internet ] 2012 [ cited 2013 Jan 09 ] 16(3): 226-31. Available from: http://www.scielo.br/pdf/bjid/v16n3/v16n3a02.pdf
17. Vijayan T, Benin AL, Wagner K, Romano S, Andiman WA. We never thought this would happen: transitioning care of adolescents with perinatally acquired HIV infection from pediatrics to internal medicine. AIDS Care [ Internet ]. 2009 [ cited 2013 Jan 09 ] 21(10): 1222-9. Available from: http://www.ncbi.nlm.nih.gov/pubmed/20024697.
18. Holanda ER, Souza MA, Holanda VR, Santos SMJ, Galvão MTG, Lopes MVO. Adesão ao tratamento de crianças soropositivas ao HIV: uma análise conceitual. Aquichan [ Internet ]. 2012 Dec [ cited 2013 Jan 09 ] 12(3): 228-40. Available from: http://aquichan.unisabana.edu.co/index.php/aquichan/article/view/2242/pdf.
19. Oliveira DC, Costa TL, Gomes AMT, Acioli S, Formozo GA, Heringer A, et al. Análise da produção de conhecimento sobre o HIV/AIDS em resumos de artigos em periódicos brasileiros de enfermagem, no período de 1980 a 2005. Texto & contexto enferm [ Internet ]. 2006 Dec [ cited 2013 Jan 09 ] 15(4): 654-62. Available from: http://www.scielo.br/pdf/tce/v15n4/v15n4a14.pdf.
20. Castro EK, Remor EA. Aspectos psicossociais e HIV/AIDS: um estudo bibliométrico (1992-2002) comparativo dos artigos publicados entre Brasil e Espanha. Psicol refl crit. 2004;17(2):243-50.
Colaboradores:
Eliane Rolim de Holanda y Maria da Conceição Cavalcanti Lira participaron de la concepción del proyecto, recolección de los datos, análisis e interpretación de los datos, redacción del artículo y aprobación final de la versión a ser publicada.
Marli Teresinha Gimeniz Galvão, Marta Maria Coelho Damasceno y Thelma Leite de Araujo supervisaron todas las etapas de la investigación, contribuyeron con la revisión crítica del contenido intelectual, redacción del artículo y aprobación final de la versión a ser publicada.
Recibido: 07/03/2012
Revisado: 19/07/2013
Aprobado: 10/09/2013